Market updates and forecasts

Forexmart's Market Analysis section provides up-to-date information about the financial market. The overviews are intended to give you an insight into current trends, financial forecasts, global economic reports, and political news that influence the market.

Disclaimer:  Information provided here to retail and professional clients does not contain and should not be construed as containing investment advice or an investment recommendation or an offer or solicitation to engage in any transaction or strategy in financial instruments. Past performance is not a guarantee or prediction of future performance.

Il mercato vede solo gli aspetti positivi
05:33 2025-10-06 UTC--5
Exchange Rates analysis

Perché il mercato azionario americano cresce? L'S&P 500 respinge sia le stime sopravvalutate che lo shutdown. L'indice azionario generale ha stabilito il 31° record dall'inizio dell'anno. Nonostante l'imprevedibilità di Donald Trump, gli investitori credono fermamente nel desiderio del presidente USA di fare qualsiasi cosa per sostenere i mercati. Ma ci sono anche il ciclo di indebolimento della politica monetaria della Fed e la tecnologia di intelligenza artificiale.

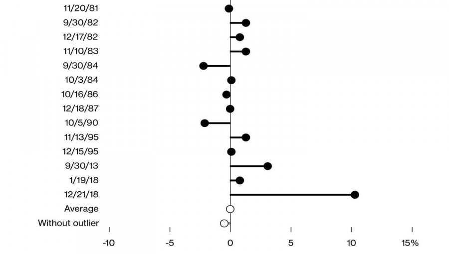
Democratici e repubblicani sono in una situazione di stallo. Nessuno vuole neanche pensare a fare concessioni per far tornare il governo degli Stati Uniti al lavoro. Molto probabilmente, lo shutdown dell'esecutivo durerà almeno un'altra settimana. La storia delle precedenti 20 interruzioni mostra che l'S&P 500 è spesso cresciuto. Tuttavia, se si esclude il 2018, quando aggiunse più del 10%, il tasso medio di aumento/diminuzione è negativo.

Reazione S&P 500 agli shutdown


Tanto più in alto si porta l'indice azionario generale, tanto più forte gira la testa dei tori. Gli ultimi avvertimenti sono arrivati da Goldman Sachs. Il management della banca non sarebbe sorpreso se l'S&P 500 dovesse rimanere fermo per i prossimi due anni dopo il dilagante rally 2023-2025. La situazione ricorda la crisi delle dot-com. Ora, come allora, il rapporto P/E è vicino a 23.

Anche se ci sono molti ottimisti sul mercato. Secondo loro, dall'estate del 2022 ci sono stati svariati avvertimenti su una bolla nelle aziende tecnologiche. Anche se l'intelligenza artificiale continua a spingere l'S&P 500 sempre più in alto.

D'altra parte, tutto si comprende nel confronto. Mentre l'indice azionario generale USA ha guadagnato il 14% dall'inizio dell'anno, la sua controparte asiatica MSCI Asia Pacific è cresciuta di circa il 22%. Allo stesso tempo, la maggior parte degli esperti di Bloomberg ritiene che la regione continuerà a superare l'America. I principali rischi per l'S&P 500, stando agli esperti, sono le stime fondamentali elevate, l'impatto negativo delle tariffe sul reddito delle imprese e l'elevata concentrazione del mercato azionario in alcune grandi imprese.

Previsione della dinamica di S&P 500 e MSCI Asia Pacific


Come mostra la storia, la superiorità di un indice azionario rispetto sull'indice americano non ha sempre portato ad un trasferimento di capitale dagli Stati Uniti all'Asia o all'Europa. Molto spesso i non residenti rimangono nel mercato azionario più grande e liquido del mondo, limitandosi ad assicurare i rischi valutari. Un esempio tipico è il dominio di EuroStoxx 600 osservato nella prima metà dell'anno.


Nessuna tendenza dura per sempre. Non importa quanto possa essere forte. Le correzioni sono inevitabili. Ma dato che gli investitori hanno imparato a riacquistare ogni minimo fallimento dell'S&P 500, ci si rende conto che è necessario un fattore molto serio per il ritiro dell'indice azionario generale.

A livello tecnico, nel grafico giornaliero dello S&P 500 non c'è motivo di dubitare della forza della tendenza al rialzo. Il sostegno chiave è il fair value a 6650. Finché il trading va verso l'altro, andrebbe data preferenza agli acquisti in direzione degli obiettivi precedentemente annunciati a 6800 e 6920.


    






Feedback

ForexMart is authorized and regulated in various jurisdictions.

(Reg No.23071, IBC 2015) with a registered office at First Floor, SVG Teachers Co-operative Credit Union Limited Uptown Building, Corner of James and Middle Street, Kingstown, Saint Vincent and the Grenadines

Restricted Regions: the United States of America, North Korea, Sudan, Syria and some other regions.


© 2015-2025 Tradomart SV Ltd.
Top Top
Risk Warning:
Foreign exchange trading carries a high risk of losing money due to leverage and may not be suitable for all investors. Before deciding to invest your money, you should carefully consider all the features associated with Forex, as well as your investment objectives, level of experience, and risk tolerance.
Foreign exchange trading carries a high risk of losing money due to leverage and may not be suitable for all investors. Before deciding to invest your money, you should carefully consider all the features associated with Forex, as well as your investment objectives, level of experience, and risk tolerance.